전기자기학
전기자기학 4장 - Energy and Potential(2)
공대생의 잡다한 사전
2022. 7. 13. 17:45
(1)과 이어지는 내용입니다.
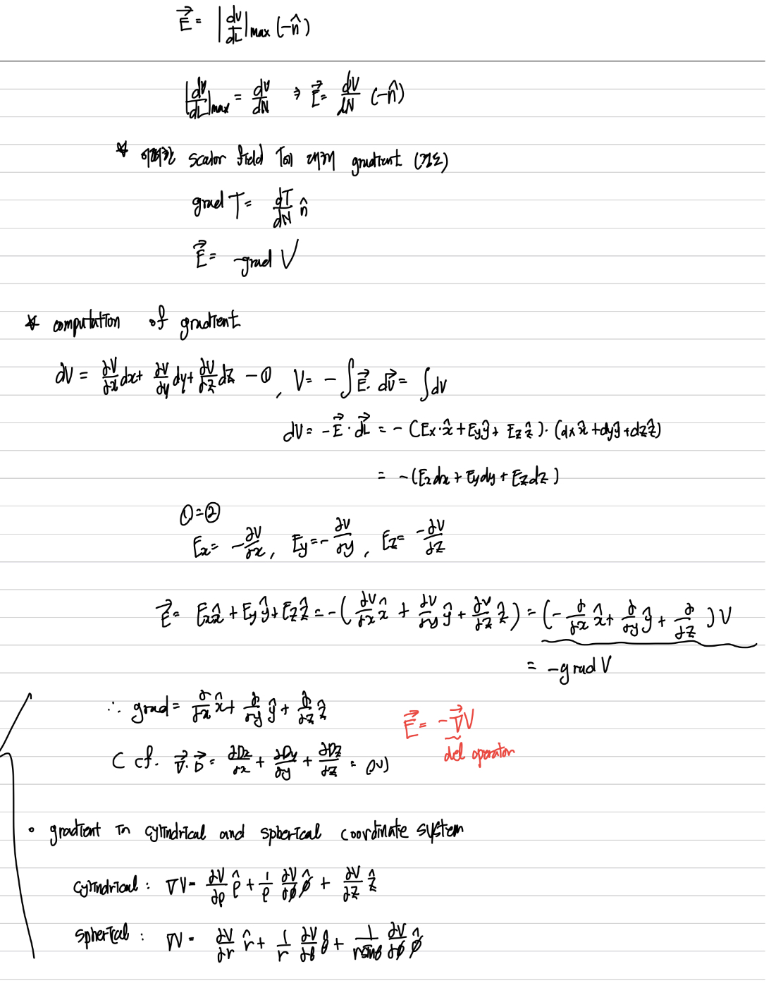
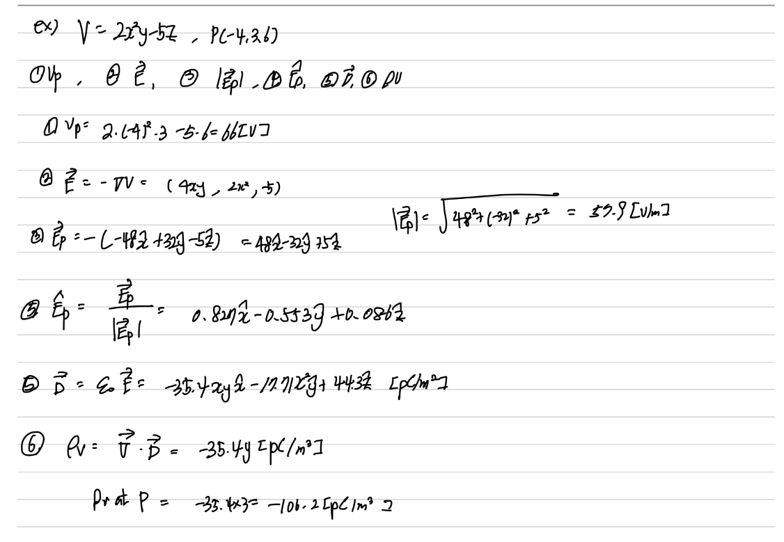
중간 gradient의 내용은 매우 중요하니 이해하고 각 좌표계의 식을 외워주셔야 합니다.





질문이 있으신 경우 댓글을 남겨주세요.
전기자기학_필기_7주차_1.pdf
5.57MB