물리전자
물리전자 Chapter4 - 평형상태의 캐리어 농도와 페르미 에너지(문제 풀이)
공대생의 잡다한 사전
2025. 3. 29. 14:17
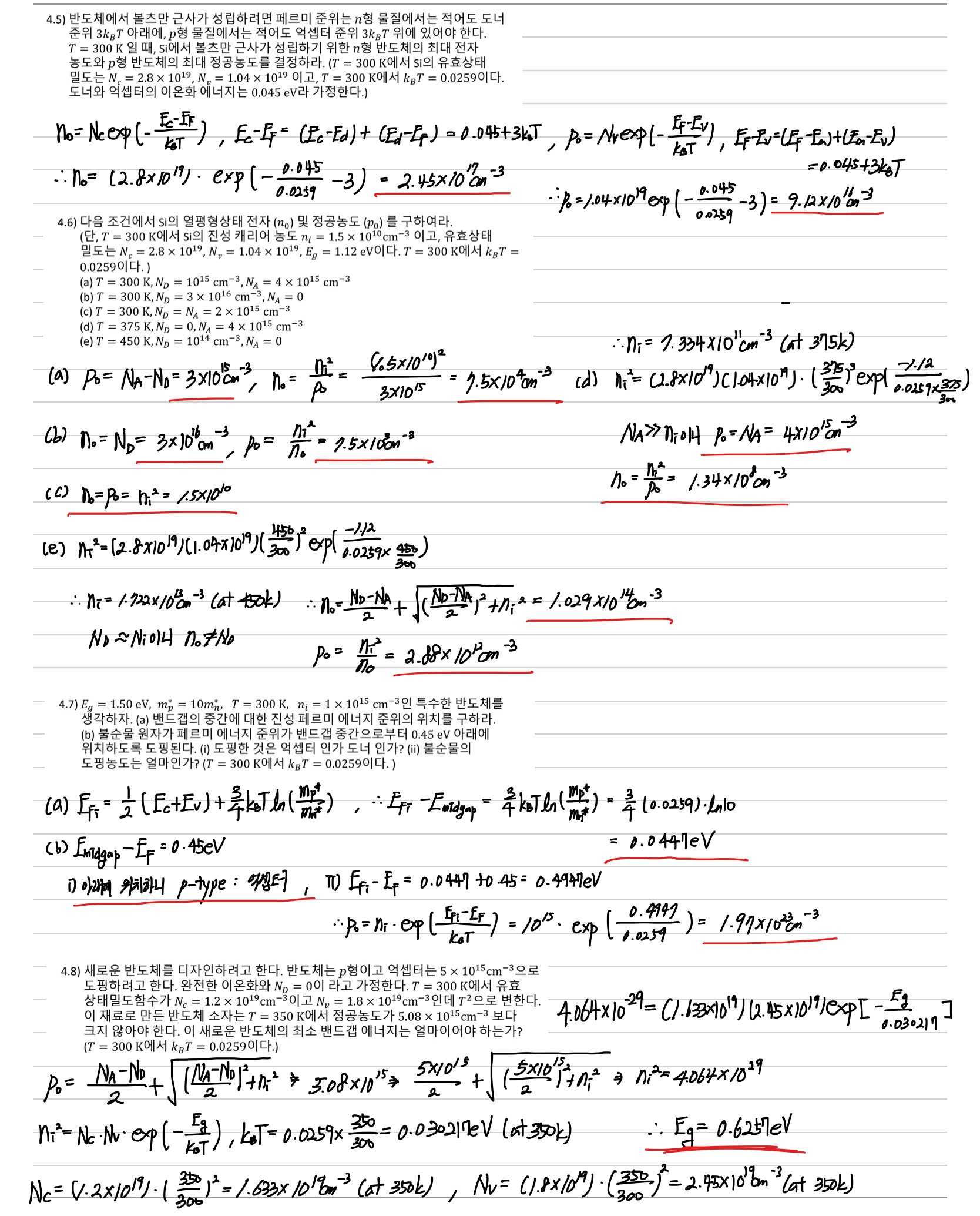
물리전자 Chapter4 에서 사용된 개념을 응용한 문제입니다.


물리전자 Chapter4 에서 사용된 개념을 응용한 문제입니다.

