Notice
Recent Posts
Recent Comments
Link
전자공학 및 알고리즘
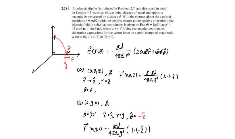
전기자기학 2장 - 연습문제 풀이 본문
간단한 문제들 풀어 올려봅니다.
혹시 궁금하신 연습문제 있으면 댓글 남겨주세요





궁금한 부분 있으면 말해주세요
'전기자기학' 카테고리의 다른 글
| 전기자기학 3장 - 전속 밀도, 가우스 법칙, 맥스웰 방정식, Divergence(2) (0) | 2022.07.07 |
|---|---|
| 전기자기학 3장 - 전속 밀도, 가우스 법칙, 맥스웰 방정식, Divergence(1) (0) | 2022.07.07 |
| 전기자기학 2장 - 전하와 쿨롱 법칙, 밀도 (0) | 2022.05.08 |
| 전기자기학 1장 - 연습문제 풀이 (0) | 2022.05.08 |
| 전기자기학 1장 - vector + 좌표계 (0) | 2022.05.08 |