Notice
Recent Posts
Recent Comments
Link
전자공학 및 알고리즘
전기자기학 2장 - 전하와 쿨롱 법칙, 밀도 본문

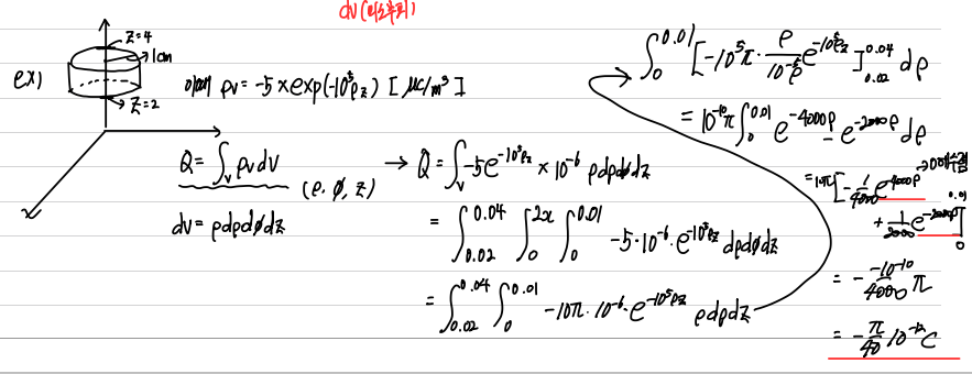
해당 페이지는 쿨롱의 법칙에 관련된 내용입니다.
F1, F2는 반대방향임을 알아두시면 됩니다.

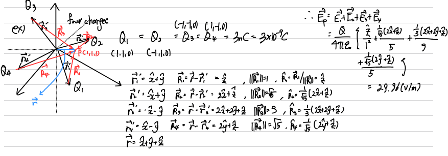
전기장에 관한 내용입니다.
전기장의 정의와 식에 대해서 알아두시면 됩니다.







이번 장의 내용도 굉장히 중요한 것 같습니다.
3장에서 해당 장의 내용이 굉장히 많이 사용되니 완전히 이해하고 외워두시는게 좋습니다.
질문 및 오류는 댓글 남겨주세요
'전기자기학' 카테고리의 다른 글
| 전기자기학 3장 - 전속 밀도, 가우스 법칙, 맥스웰 방정식, Divergence(1) (0) | 2022.07.07 |
|---|---|
| 전기자기학 2장 - 연습문제 풀이 (0) | 2022.05.17 |
| 전기자기학 1장 - 연습문제 풀이 (0) | 2022.05.08 |
| 전기자기학 1장 - vector + 좌표계 (0) | 2022.05.08 |
| 전기자기학 시작 전 (0) | 2022.05.08 |