Notice
Recent Posts
Recent Comments
Link
전자공학 및 알고리즘
물리전자 Chapter5 - 캐리어 표동과 확산(2) 본문
이전의 내용에서 이어집니다.
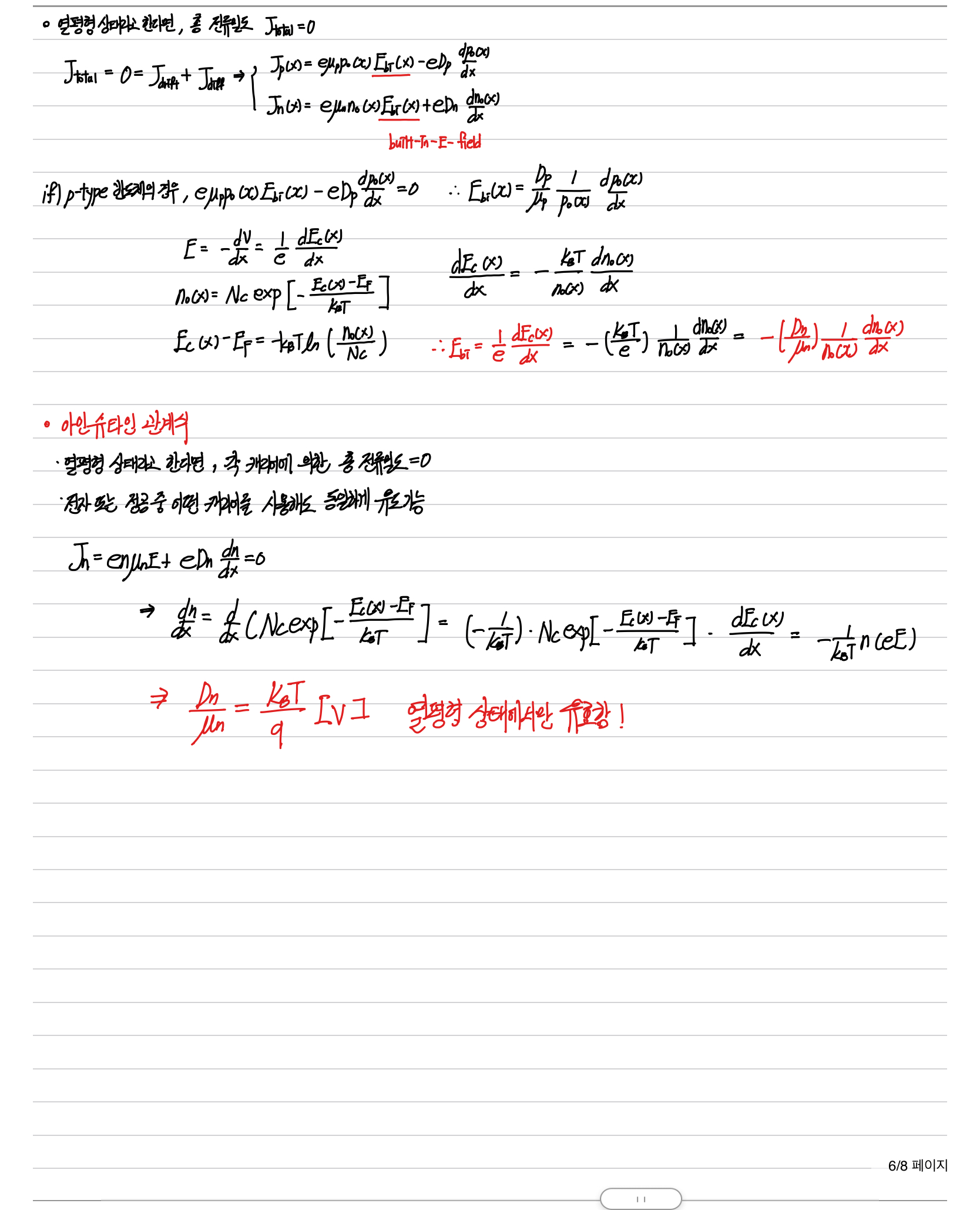
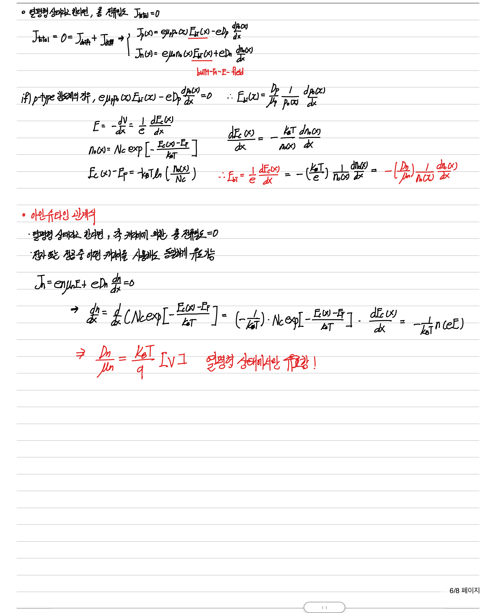
이전에는 전계의 의한 표동 전류만 확인했습니다. 이번에는 농도 차이에 의한 확산 전류에 대해서 알아보겠습니다.
확산 전류가 어떤 의미인지, 캐리어 농도의 기울기에 어떤 관련이 있는지를 확인해주시야 합니다.
전류의 방향과 전자, 정공의 이동 방향이 어떤 차이가 있는지, 농도 기울기와 어떤 차이가 있는지를 이해해주시면 됩니다.

아인슈타인 관계식은 굉장히 중요합니다.
특히, 열평형 상태에서만 식이 성립한다는 것을 주의해주셔야 합니다.

전체 내용은 아래에 있는 PDF로 참고 바랍니다.
'물리전자' 카테고리의 다른 글
| 물리전자를 마치며... (1) | 2025.03.29 |
|---|---|
| 물리전자 Chapter5 - 캐리어 표동과 확산(연습 문제) (0) | 2025.03.29 |
| 물리전자 Chapter5 - 캐리어 표동과 확산(1) (0) | 2025.03.29 |
| 물리전자 Chapter4 - 평형상태의 캐리어 농도와 페르미 에너지(문제 풀이) (0) | 2025.03.29 |
| 물리전자 Chapter4 - 평형상태의 캐리어 농도와 페르미 에너지(2) (0) | 2025.03.29 |