Notice
Recent Posts
Recent Comments
Link
전자공학 및 알고리즘
물리전자 Chapter4 - 평형상태의 캐리어 농도와 페르미 에너지(문제 풀이) 본문
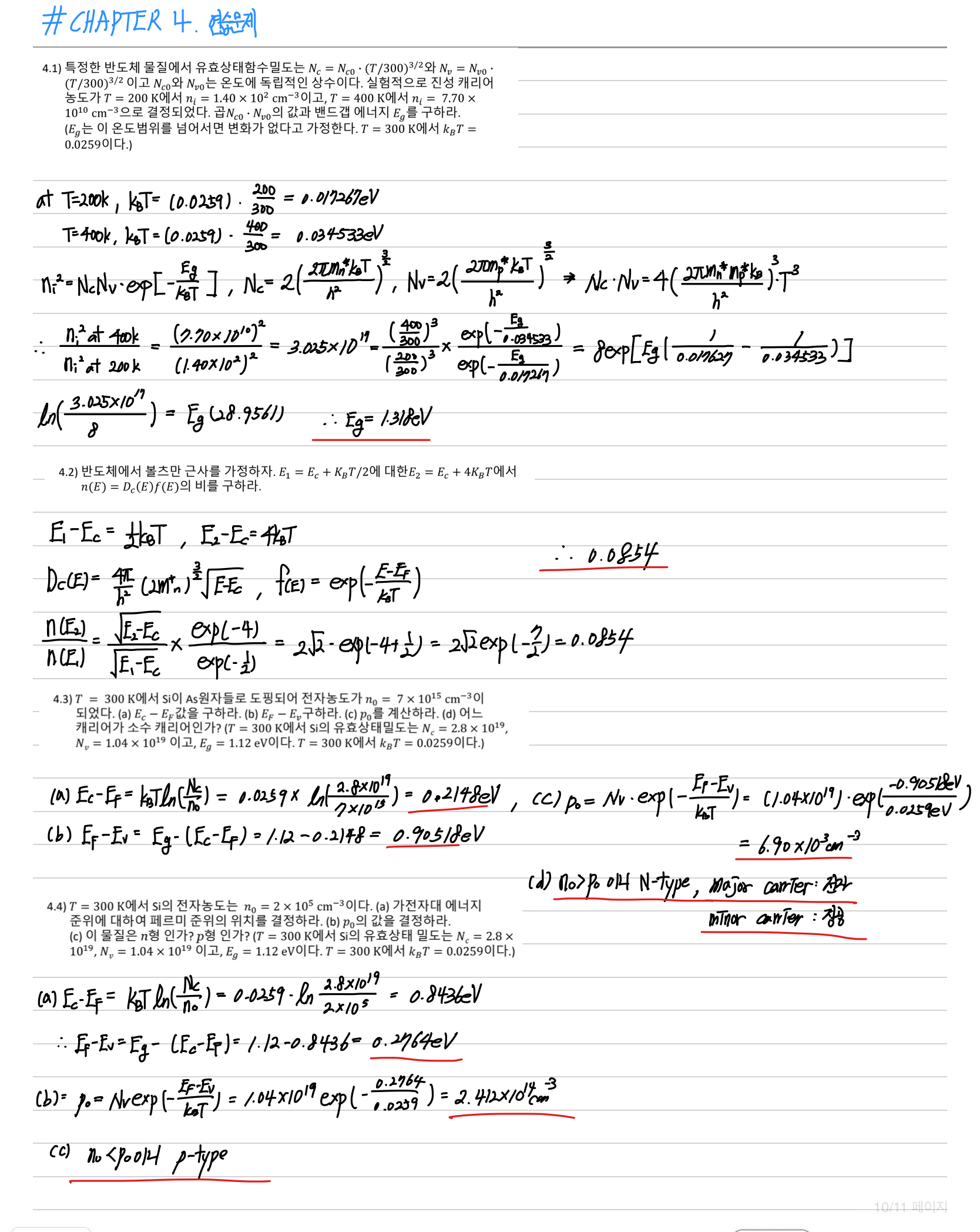
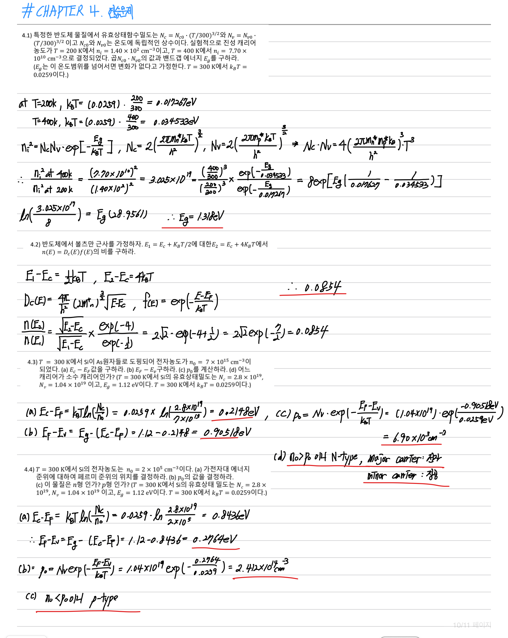
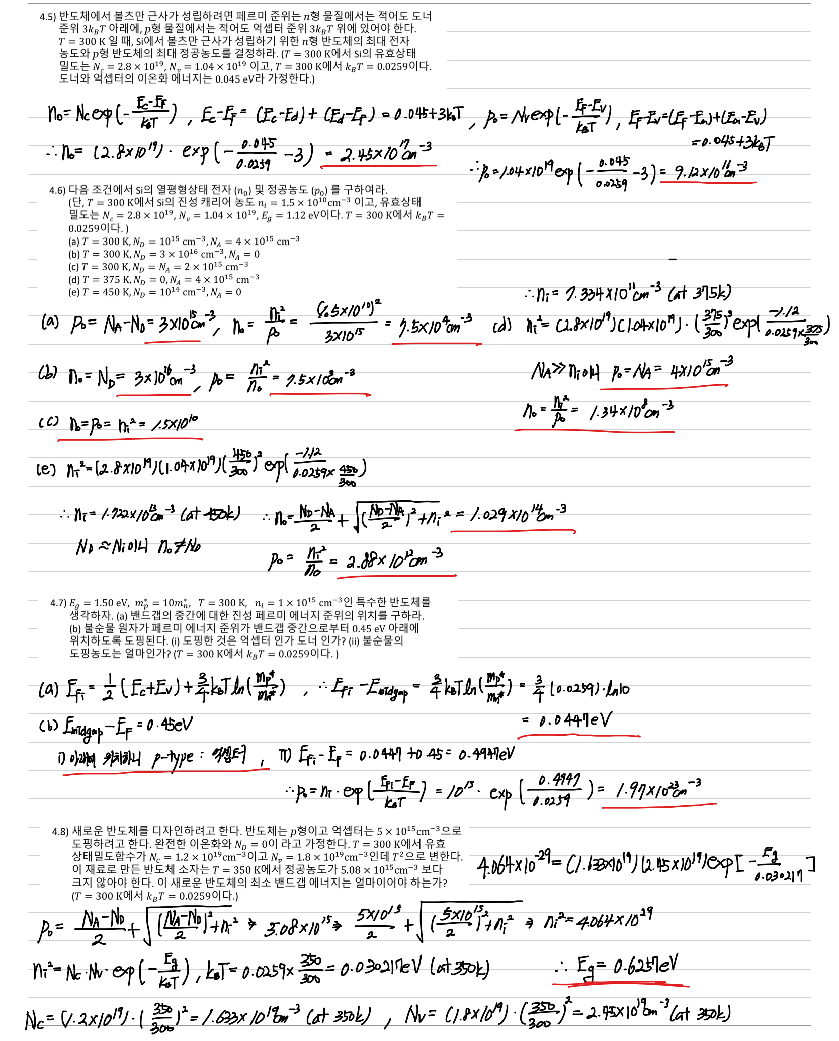
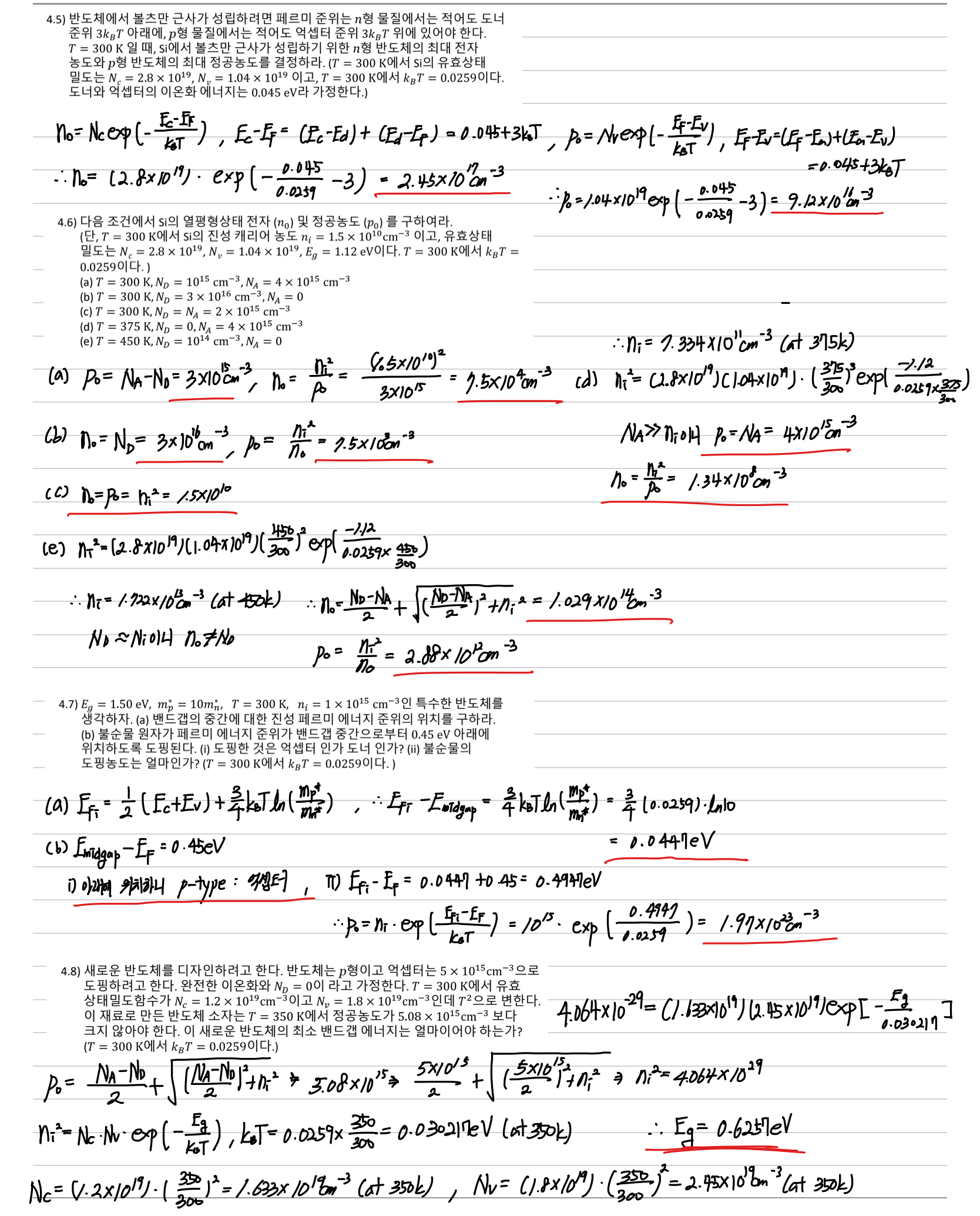
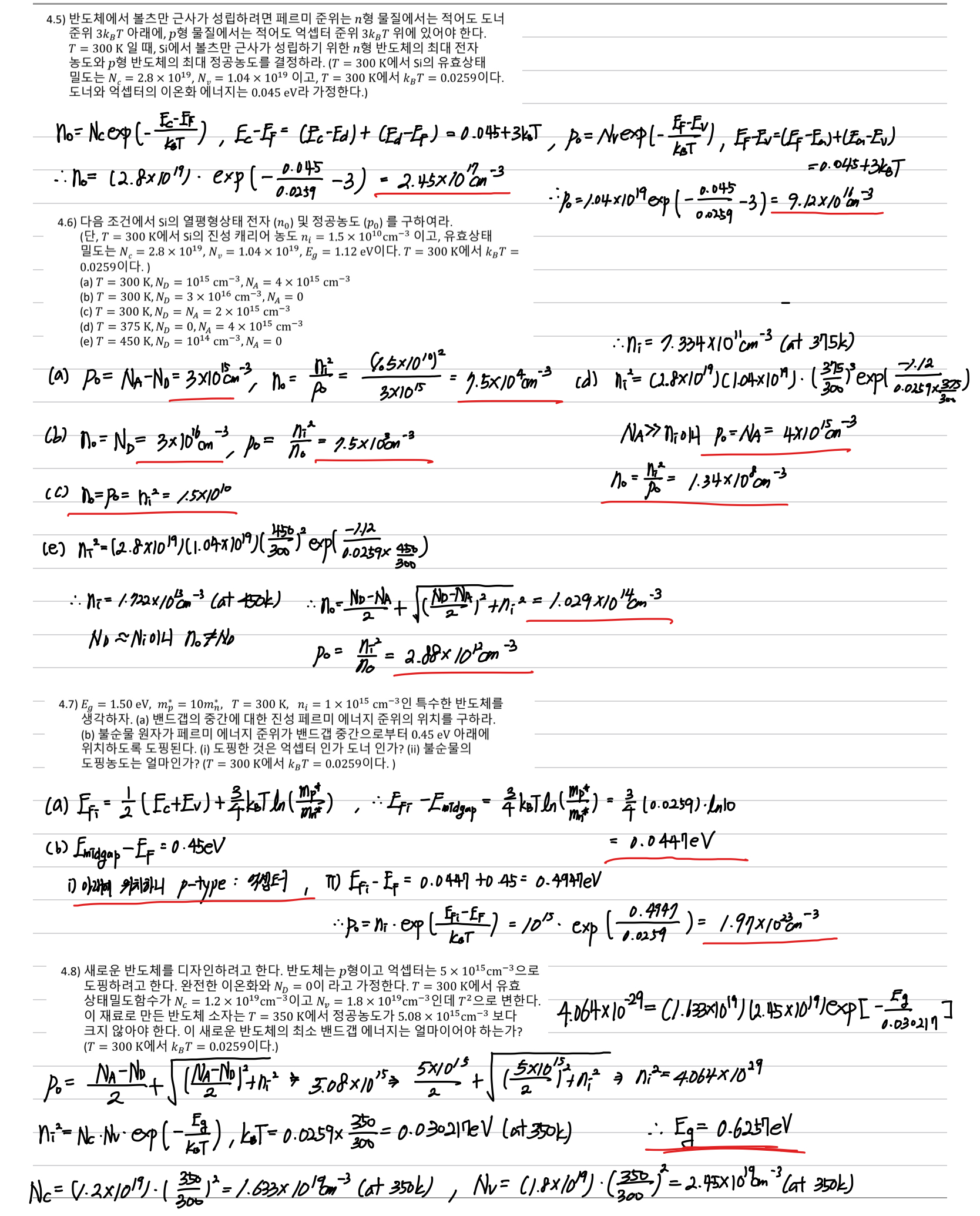
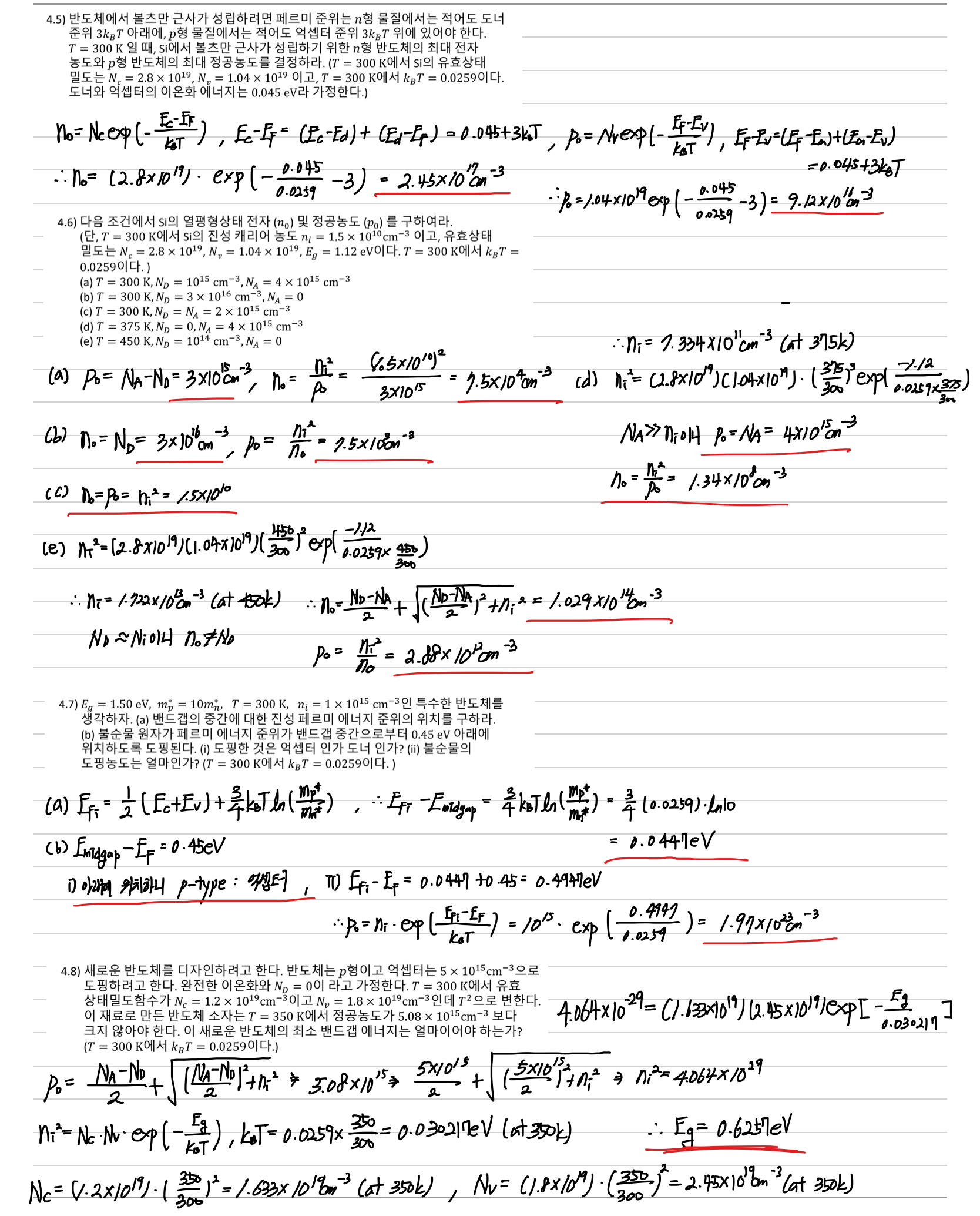
물리전자 Chapter4 에서 사용된 개념을 응용한 문제입니다.


'물리전자' 카테고리의 다른 글
| 물리전자 Chapter5 - 캐리어 표동과 확산(2) (0) | 2025.03.29 |
|---|---|
| 물리전자 Chapter5 - 캐리어 표동과 확산(1) (0) | 2025.03.29 |
| 물리전자 Chapter4 - 평형상태의 캐리어 농도와 페르미 에너지(2) (0) | 2025.03.29 |
| 물리전자 Chapter4 - 평형상태의 캐리어 농도와 페르미 에너지(1) (0) | 2025.03.29 |
| 물리전자 Chapter3 -고체의 양자이론(문제 풀이) (0) | 2025.03.29 |