Notice
Recent Posts
Recent Comments
Link
전자공학 및 알고리즘
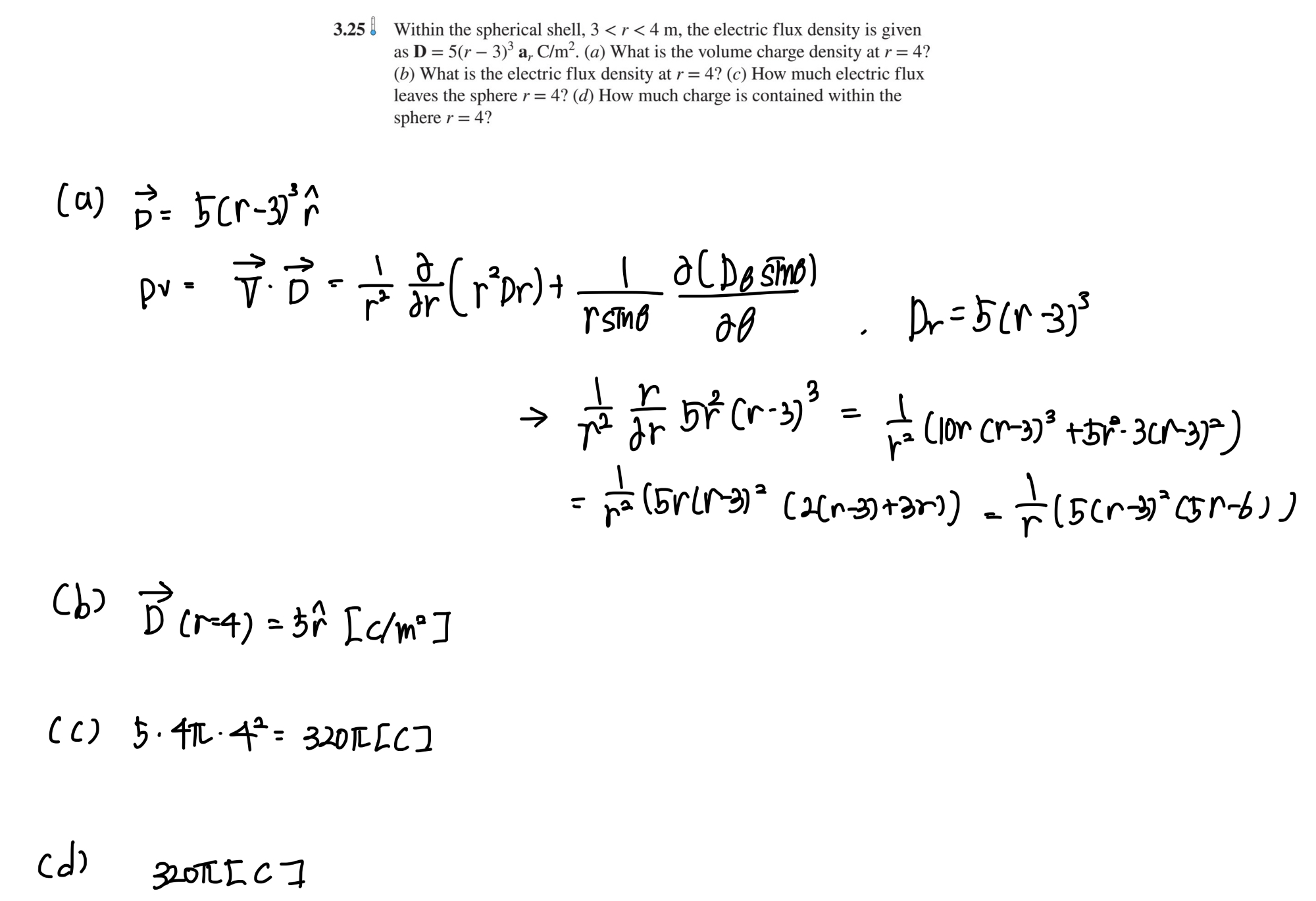
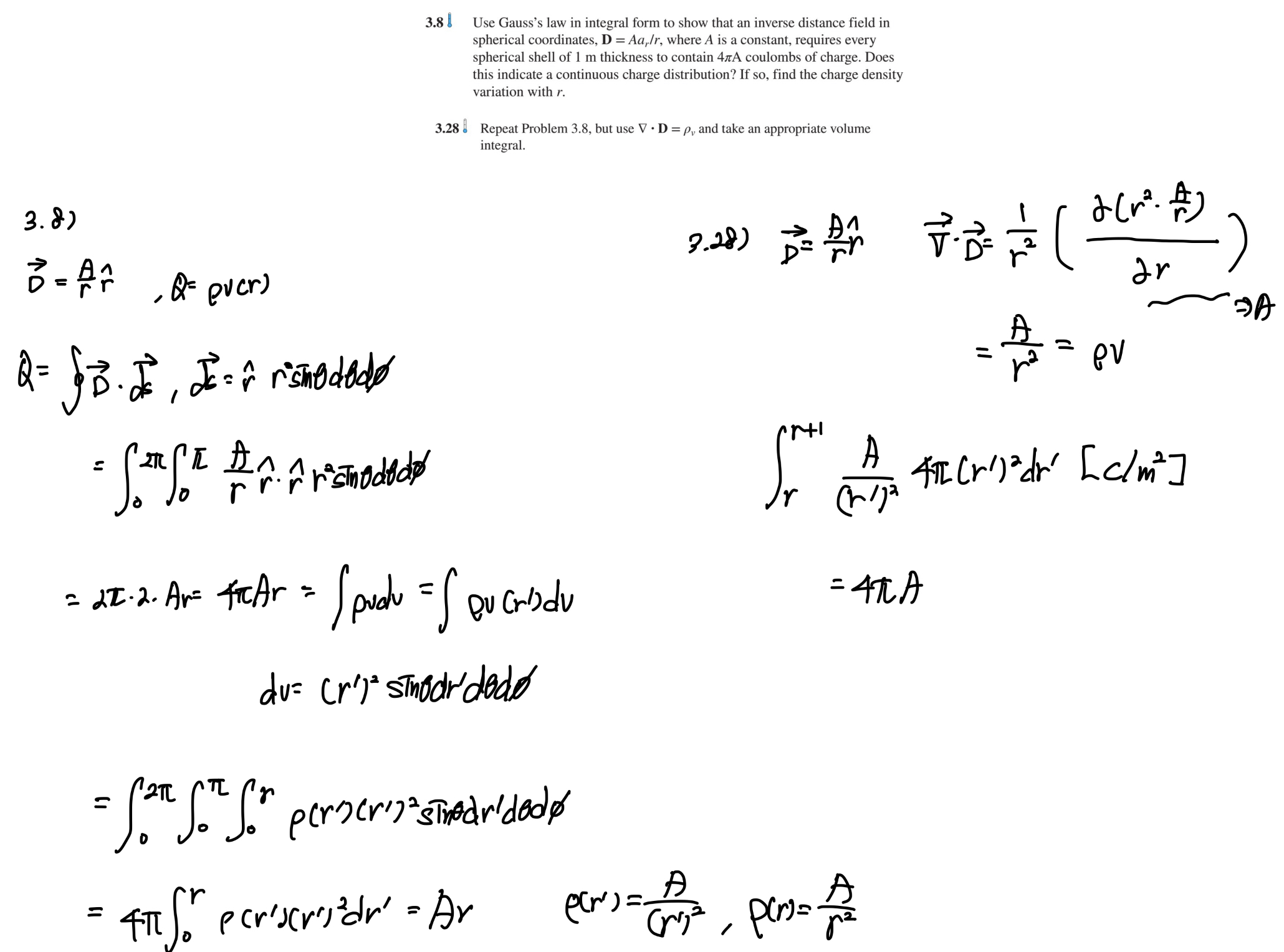
전기자기학 3장 - 연습문제 풀이 본문
'전기자기학' 카테고리의 다른 글
| 전기자기학 4장 - Energy and Potential(2) (0) | 2022.07.13 |
|---|---|
| 전기자기학 4장 - Energy and Potential(1) (0) | 2022.07.13 |
| 전기자기학 3장 - 전속 밀도, 가우스 법칙, 맥스웰 방정식, Divergence(2) (0) | 2022.07.07 |
| 전기자기학 3장 - 전속 밀도, 가우스 법칙, 맥스웰 방정식, Divergence(1) (0) | 2022.07.07 |
| 전기자기학 2장 - 연습문제 풀이 (0) | 2022.05.17 |







