Notice
Recent Posts
Recent Comments
Link
전자공학 및 알고리즘
전기자기학 4장 - Energy and Potential(2) 본문
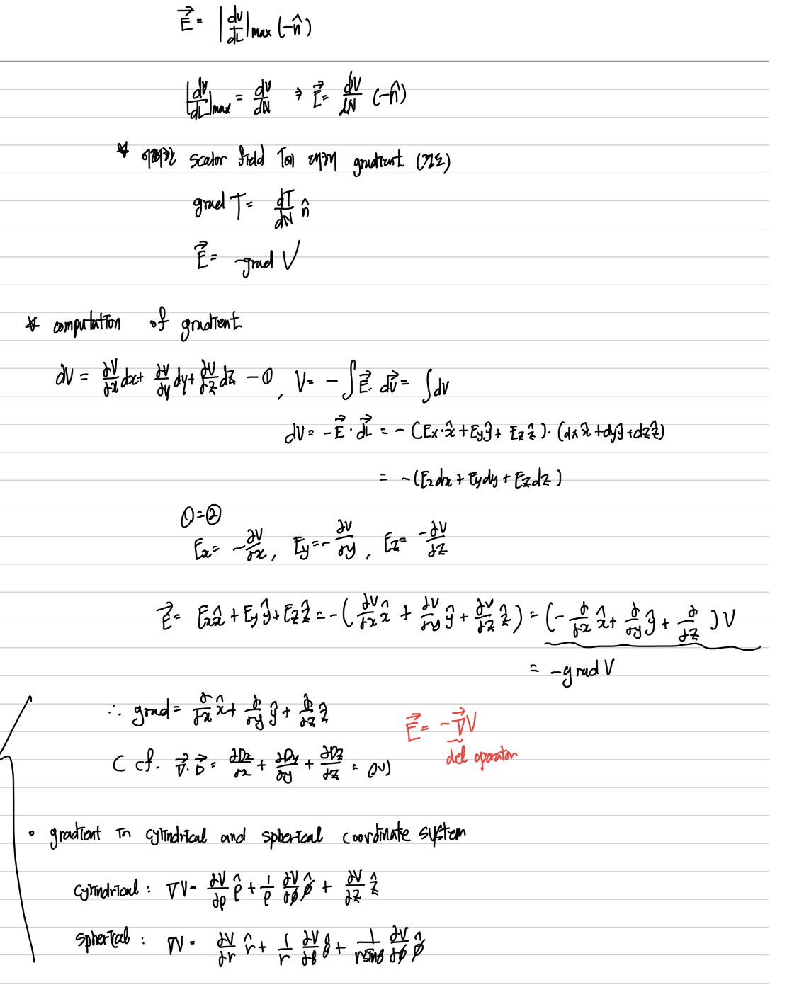
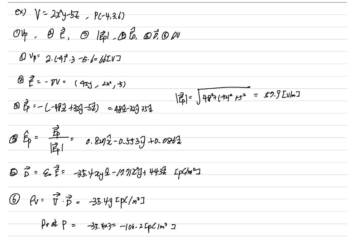
(1)과 이어지는 내용입니다.
중간 gradient의 내용은 매우 중요하니 이해하고 각 좌표계의 식을 외워주셔야 합니다.





질문이 있으신 경우 댓글을 남겨주세요.
전기자기학_필기_7주차_1.pdf
5.57MB
'전기자기학' 카테고리의 다른 글
전기자기학 4장 - 연습문제 풀이 (2) | 2022.07.16 |
---|---|
전기자기학 4장 - Energy and Potential(3) (0) | 2022.07.13 |
전기자기학 4장 - Energy and Potential(1) (0) | 2022.07.13 |
전기자기학 3장 - 연습문제 풀이 (1) | 2022.07.13 |
전기자기학 3장 - 전속 밀도, 가우스 법칙, 맥스웰 방정식, Divergence(2) (0) | 2022.07.07 |