Notice
Recent Posts
Recent Comments
Link
전자공학 및 알고리즘
전기자기학 4장 - Energy and Potential(3) 본문
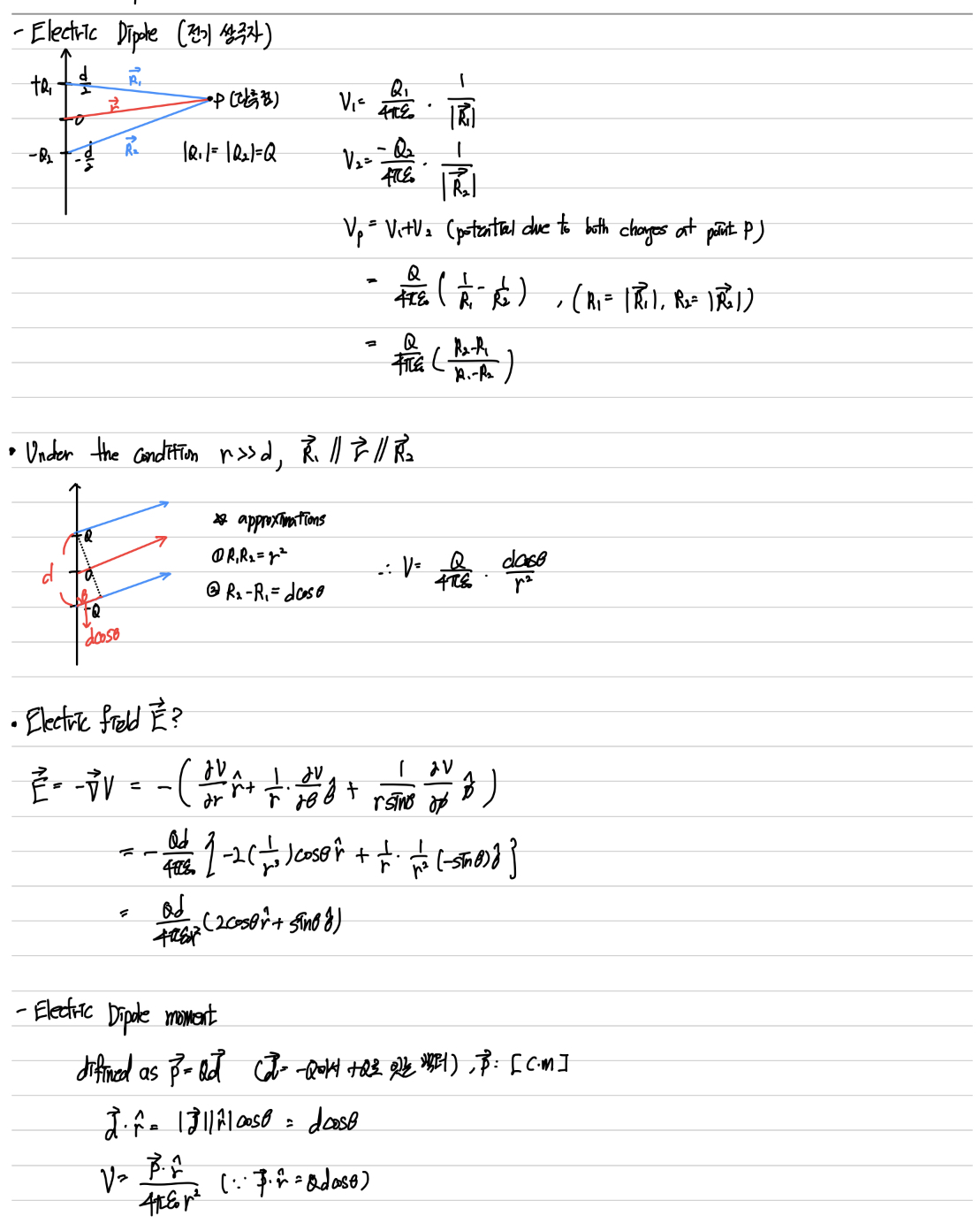
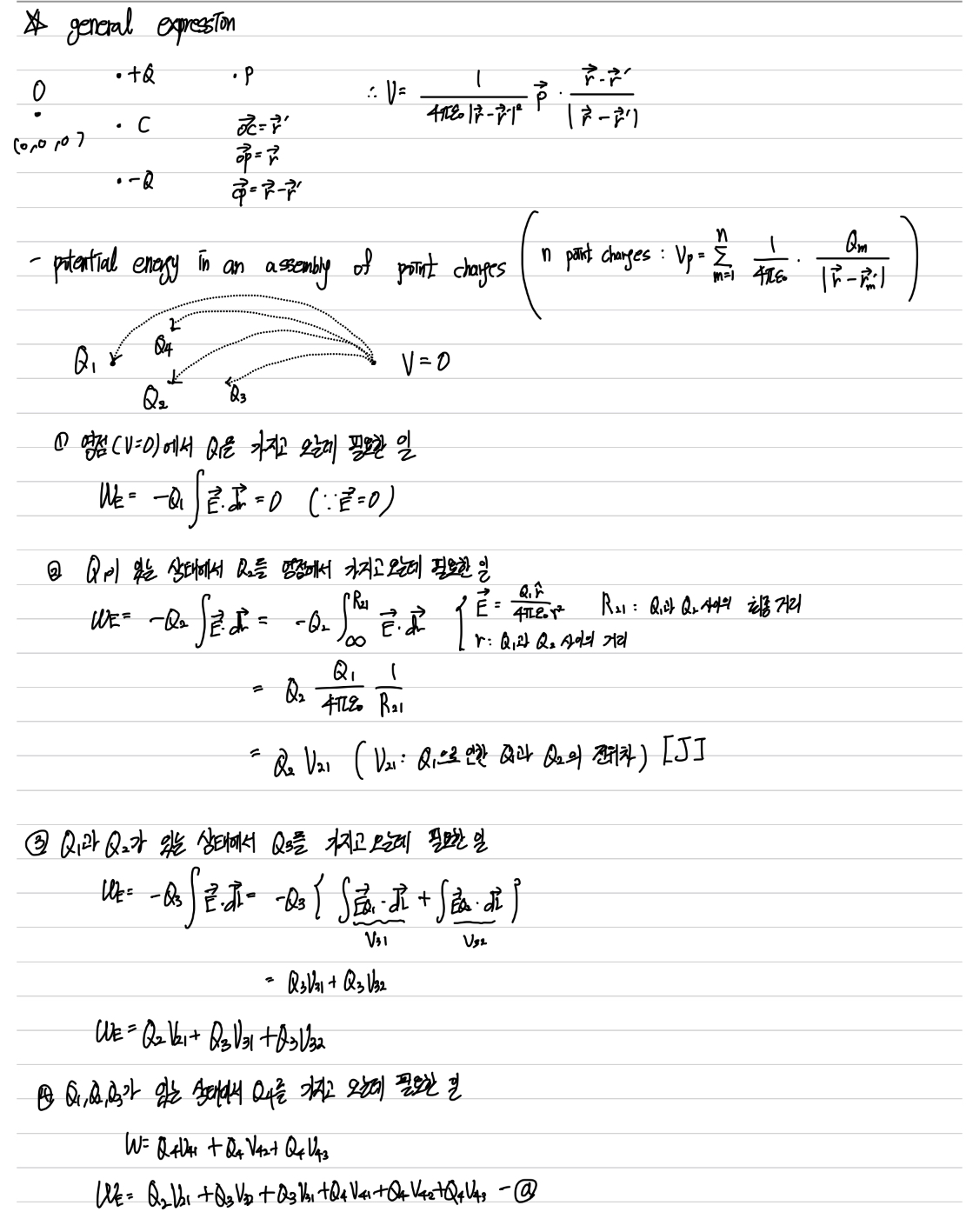
(2)와 이어지는 내용입니다.




이로써 4장 내용이 끝났습니다.
이전의 장보다 난이도가 올라갔지만 외워야할 것이 더 많아졌습니다.
특히 전기쌍극자와 관련된 내용과 We의 값을 구하는 방법이 중요합니다.
다른 부분도 전부 중요하니 이해하고 숙지해주시길 바랍니다.
'전기자기학' 카테고리의 다른 글
| 전기자기학 5장 - Conductors and Dielectrics(1) (0) | 2022.08.10 |
|---|---|
| 전기자기학 4장 - 연습문제 풀이 (2) | 2022.07.16 |
| 전기자기학 4장 - Energy and Potential(2) (0) | 2022.07.13 |
| 전기자기학 4장 - Energy and Potential(1) (0) | 2022.07.13 |
| 전기자기학 3장 - 연습문제 풀이 (1) | 2022.07.13 |