Notice
Recent Posts
Recent Comments
Link
전자공학 및 알고리즘
Unit 3 - Boolean Algebra - 2 본문
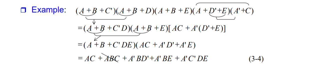
Multiplying Out and Factoring Expressions
Product - of - Sum 형태로 표현이 주어졌을 때, 분배법칙을 이용해 곱셈 전게를 할 수 있습니다.
- X(Y + Z) = XY + XZ
- (X + Y)(X + Z) = X + YZ
- (X + Y)(X' + Z) = XZ + X'Y <- 매우 유용함으로 기억해야합니다.
- (X + Y)(X' + Z) = XX' + XZ + X'Y + YZ = XZ + X'Y + YZ <- consensus terms = XZ + X'Y
- 3번식을 1번과 2번식과 함께 사용합니다.
- 불필요한 항 생성을 피하기 위해서 1번시글 적용하기 전에 2번과 3번식을 먼저 사용합니다.


///////////////////////////////////////////////////////////////////////////////////////////////////////////////////////////////////////
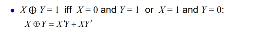
Exclusive-OR and Equivalence Operations
Exclusive-OR operation
- XOR은 언어마다 다른 우선 순위를 가지고 있지만, AND보다는 낮고 OR보다는 낮지 않습니다.





Equivalence operation : 등가연산






///////////////////////////////////////////////////////////////////////////////////////////////////////////////////////////////////////
Consensus theorem : 합의 정리
'전자기초 디지털논리설계' 카테고리의 다른 글
| Unit 2 - Boolean Algebra - 1 (0) | 2021.09.20 |
|---|---|
| Unit 1 - Binary Number(part 2) (0) | 2021.09.16 |
| Unit 1 - Binary Number(part 1) (0) | 2021.09.16 |